
Our Data
Cleaning and Filtering our Data
Summarizing counts functionally!
How do we summarize our data?
The split-apply-combine philosophy

Weight: 3.09kg

3.09, 2.91, 3.06, 2.69, 2.88, 2.98, 1.61, 2.16, 1.56, 1.76

Pair up with someone and come up all of the information you can think of that would summarize this population.

Our Data
Cleaning and Filtering our Data
Summarizing counts functionally!
How do we summarize our data?
The split-apply-combine philosophy



# A tibble: 74 × 3
mass river mass_class
<dbl> <chr> <fct>
1 3.09 a (2.75,3.14]
2 2.91 b (2.75,3.14]
3 3.06 c (2.75,3.14]
4 2.69 d (2.35,2.75]
5 2.88 e (2.75,3.14]
6 2.98 f (2.75,3.14]
7 2.16 b (1.96,2.35]
8 3.3 f (3.14,3.53]
9 3.25 e (3.14,3.53]
10 2.18 f (1.96,2.35]
# ℹ 64 more rows
# A tibble: 38 × 3
mass river mass_class
<dbl> <chr> <fct>
1 3.09 a (2.75,3.14]
2 1.61 a (1.57,1.96]
3 1.91 a (1.57,1.96]
4 2.13 a (1.96,2.35]
5 1.53 a [1.18,1.57]
6 1.75 a (1.57,1.96]
7 1.76 a (1.57,1.96]
8 1.72 a (1.57,1.96]
9 2.29 a (1.96,2.35]
10 1.74 a (1.57,1.96]
# ℹ 28 more rows

# A tibble: 4 × 3
mass river mass_class
<dbl> <chr> <fct>
1 3.09 a (2.75,3.14]
2 3.04 a (2.75,3.14]
3 3.11 a (2.75,3.14]
4 3.05 a (2.75,3.14]
Our Data
Cleaning and Filtering our Data
Summarizing counts functionally!
How do we summarize our data?
The split-apply-combine philosophy
# A tibble: 1 × 1
n
<int>
1 228
# A tibble: 1 × 1
n
<int>
1 4
# A tibble: 1 × 1
n
<int>
1 4


[1] 9
# A tibble: 1 × 1
n
<int>
1 228
Our Data
Cleaning and Filtering our Data
Summarizing counts functionally!
How do we summarize our data?
The split-apply-combine philosophy
Measures of Central tendency: Mean, Median, Mode
Measures of Variation: Standard Deviation, Percentiles
Measures of Precision of Estimating the Above: Standard Error
\(\large \bar{Y}\) - The average
value of a sample
\(y_{i}\) - The value of a measurement
for a single individual
n - The number of individuals in a sample
[1] 1.56 1.61 1.76 2.16 2.69 2.88 2.91 2.98 3.06 3.09
[1] 1.855



What is the range of 2/3 of the population?
How variable was that population? \[\large s^2= \frac{\displaystyle \sum_{i=1}^{n}{(Y_i - \bar{Y})^2}} {n-1}\]
\[ \large s = \sqrt{s^2}\]

[1] 1.56 1.61 1.76 2.16 2.69 2.88 2.91 2.98 3.06 3.09
Quantiles:
5% 10% 50% 90% 95%
1.4270 1.5300 1.8550 2.9430 3.0865
Quartiles (quarter-quantiles):
0% 25% 50% 75% 100%
1.1800 1.6400 1.8550 2.2675 3.5300




Our Data
Cleaning and Filtering our Data
Summarizing counts functionally!
How do we summarize our data?
The split-apply-combine philosophy

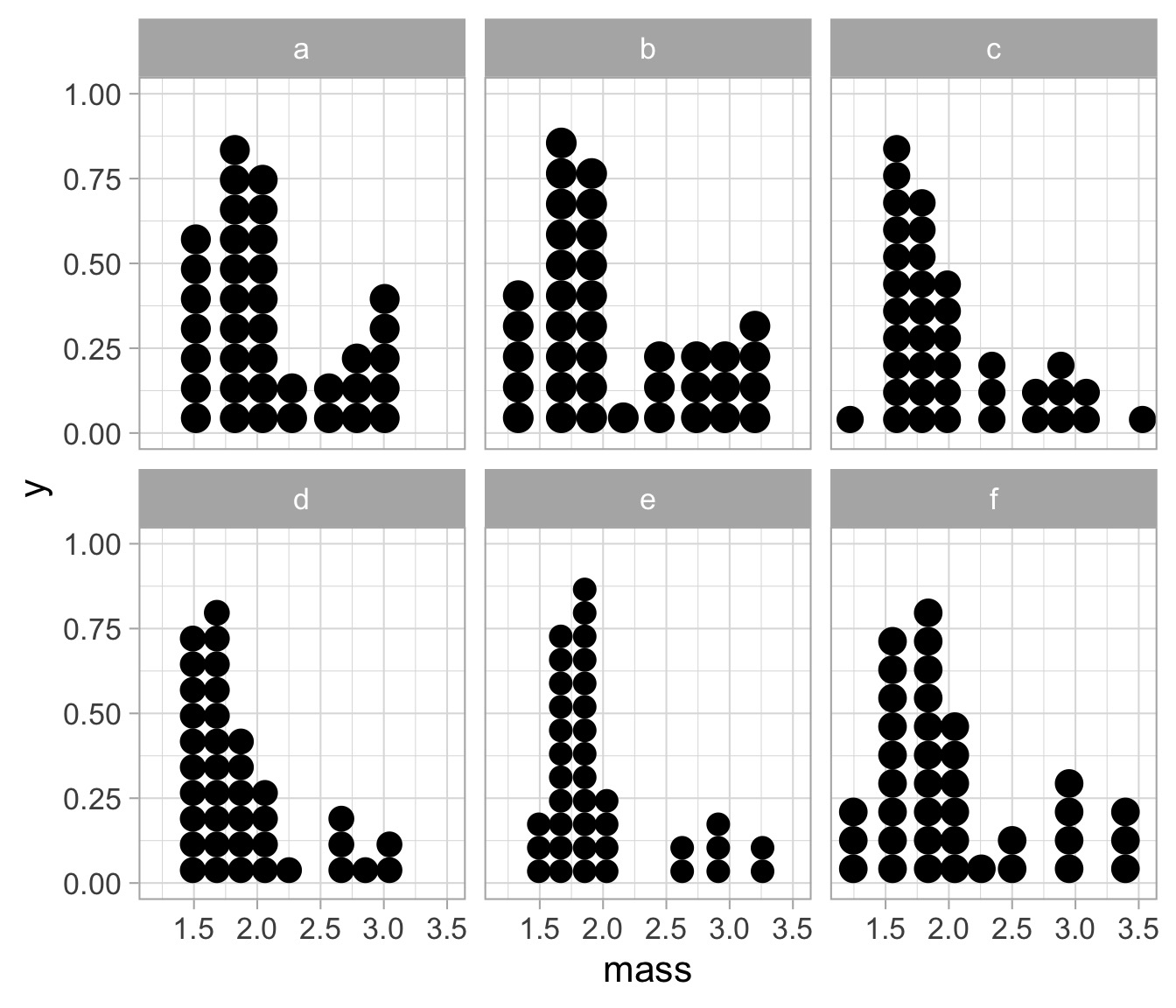
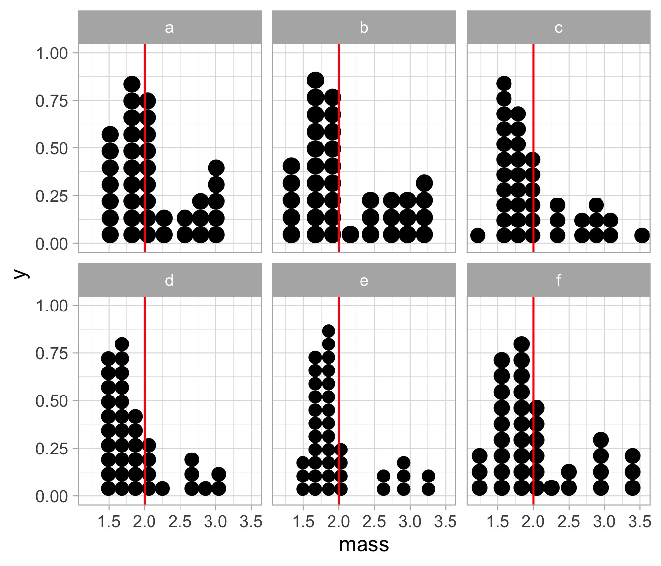
Filtering and working with one chunk of the data is not enough
We often want to summarize information about many groups

What is the mean and variation of salmon by river?
For each size class of salmon, how many are in each river?
# A tibble: 6 × 3
river mean_mass sd_mass
<chr> <dbl> <dbl>
1 d 1.89 0.450
2 e 1.98 0.491
3 c 2.04 0.548
4 f 2.04 0.612
5 b 2.10 0.608
6 a 2.11 0.511
# A tibble: 6 × 3
river mean_mass sd_mass
<chr> <dbl> <dbl>
1 a 2.11 0.511
2 b 2.10 0.608
3 f 2.04 0.612
4 c 2.04 0.548
5 e 1.98 0.491
6 d 1.89 0.450

# A tibble: 228 × 3
mass river mass_class
<dbl> <chr> <fct>
1 3.09 a (3.06,3.53]
2 2.91 b (2.59,3.06]
3 3.06 c (3.06,3.53]
4 2.69 d (2.59,3.06]
5 2.88 e (2.59,3.06]
6 2.98 f (2.59,3.06]
7 1.61 a [1.18,1.65]
8 2.16 b (2.12,2.59]
9 1.56 c [1.18,1.65]
10 1.76 d (1.65,2.12]
# ℹ 218 more rows


What are things you want to know about different rivers in the salmon data?
What are things you want to know about different size classes in the salmon data?